基于JAVA+SpringBoot+Vue+uniapp的微信小程序点餐平台
该系统是一个基于Java+SpringBoot后端、Vue+Uniapp前端的微信小程序点餐平台。平台实现了在线菜单浏览、购物车管理、订单提交与支付、后台数据统计等核心功能,为餐饮商家提供高效便捷的数字化点餐解决方案。项目采用前后端分离架构,适合作为毕业设计或实际项目开发,展示了现代Web与移动应用系统的完整实现流程。
浏览 3 次
Business Decision Support System Based on Java, SpringBoot and Vue
该系统是一个基于JAVA+SpringBoot+Vue的商业辅助决策系统,旨在为企业提供数据驱动的智能决策支持。核心功能包括数据可视化分析、多维度报表生成、风险评估与预测模型。该系统开发专注于信息管理与业务优化,适合作为毕业设计或企业级项目实现,帮助管理者提升决策效率与准确性。
该系统是一个基于JAVA+SpringBoot+Vue的商业辅助决策系统,旨在为企业提供数据驱动的智能决策支持。核心功能包括数据可视化分析、多维度报表生成、风险评估与预测模型。该系统开发专注于信息管理与业务优化,适合作为毕业设计或企业级项目实现,帮助管理者提升决策效率与准确性。
二十一世纪互联网的出现,改变了几千年以来人们的生活,不仅仅是生活物资的丰富,还有精神层次的丰富。在互联网诞生之前,地域位置往往是人们思想上不可跨域的鸿沟,信息的传播速度极慢,信息处理的速度和要求还是通过人们骑马或者是信鸽传递,这些信息传递都是不可控制的,中间很有可能丢失,信息的传递水平决定了人们生活的水平。如今大家都在使用互联网软件产品,从内部管理设置计算机管理,提高内部信息化的管理水准,从外部市场也可以用计算机获取相关数据进行处理,如今各行各业已经严重依赖于计算机了。
本课题研究和开发商业辅助决策系统,让安装在计算机上的该系统变成管理人员的小帮手,提高收支信息和销售订单信息处理速度,规范收支信息和销售订单信息处理流程,让管理人员的产出效益更高。
传统处理数据,必须是一张张纸,然后处理完毕又是统计在一张张纸上面,不断的重复处理,最终有个结果给最高层作为参考,这个模式在互联网没有出现之前,是一种常见的事情,信息管理的效率提不上去,人多不一定力量大,因为人多肯定更加消耗资源,并且因为人类需要休息,需要管理,思想会不统一,会偷懒,所以人们研究出专门帮助人们计算的机器,就是计算机的前身,到了互联网时代,人们发现完全可以让程序供应商提供解决方案,自己挑选自己合适的方案来提高自己的产出比。所以在日常工作和生活中会发现各种各样方便人们的工具。
本课题研发的商业辅助决策系统,就是提供收支信息和销售订单信息处理的解决方案,它可以短时间处理完信息,并且这些信息都有专门的存储设备,而且数据的备份和迁移都可以设定为无人值守,从人力角度和信息处理角度以及信息安全角度,商业辅助决策系统是完胜传统纸质操作的。
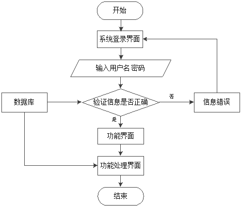
商业辅助决策系统投入使用后,使用者如果能看到相应的流程操作图会提高程序的理解能力。
使用者在操作商业辅助决策系统中,应该按照本系统提供的操作流程(图3.1即为本系统的操作流程图)进行操作,可以减少操作失误,从而节省进入商业辅助决策系统的时间。

图3.1 系统操作流程
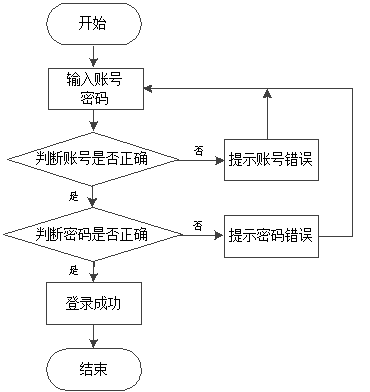
商业辅助决策系统通过登录功能(图3.2即为其登录的流程)引导使用者进入指定的功能操作区,也避免非本系统的用户享受本系统提供的服务以及查看本系统提供的信息,进而保证用户安全。

图3.2 登录流程
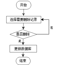
商业辅助决策系统在经过长期使用后,会产生很多的数据信息。为了腾出存储空间存放更多的数据,本系统数据库中存储的数据,一些没有参考价值的数据需要进行删除(图3.3即为删除信息的流程),删除数据过程中,为避免误删,使用者要根据系统的提示来决定是否删除数据。

图3.3 删除信息流程
商业辅助决策系统提供可视化的功能操作区,非常方便使用者进行数据操作,当使用者往系统中录入数据时(图3.4即为添加信息的流程),本系统也会进行数据合法性的判断,符合要求的数据才能够在数据库指定表中进行登记。

图3.4 添加信息流程
商业辅助决策系统根据使用权限的角度进行功能分析,并运用用例图来展示各个权限需要操作的功能。
图3.5即为管理员用例图,管理员权限操作的功能包括管理员工基本信息,管理收入信息,管理支出信息,增删改查销售订单信息,增删改查员工薪资信息等。

图3.5 管理员用例图
管理员包括的功能模块有:个人中心,基础数据管理,公告管理,收支管理,销售订单管理,薪资管理,员工管理,管理员登录等功能。
(1)个人中心:主要是帮助管理员更改密码,查看个人信息并更改;
(2)基础数据管理:主要包括部门管理,收支类型管理,公告类型管理,销售类型管理,职位管理等信息的管理;
(3)公告管理:包括公告的增删改查等;
(4)收支管理:主要是对收入信息与支出信息的增删改查等;
(5)销售订单管理:主要是新增销售订单,更改销售订单,查询销售订单,删除销售订单等;
(6)薪资管理:主要是对员工薪资增删改查管理;
(7)员工管理:包括员工资料的增删改查等;
(8)管理员登录:实现管理员对商业辅助决策系统的登录功能。
图3.6即为员工用例图,员工权限操作的功能包括查看自己的薪资信息,查看销售订单信息,查看公告,更改个人信息与登录密码等。

图3.6 员工用例图
员工包括的功能模块有个人中心,公告查看,销售订单查看,薪资查看,员工登录。
(1)个人中心:主要包括更改员工的个人信息,更改员工的密码;
(2)公告查看:管理员发布的公告的显示区域,员工只能查看;
(3)销售订单查看:管理员登记的销售订单信息显示的区域,员工在该界面查询销售订单,查看销售订单;
(4)薪资查看:员工查看薪资,查询薪资;
(5)员工登录:员工登录商业辅助决策系统才可以使用该系统的功能;
用户对着浏览器操作,肯定会出现某些不可预料的问题,但是不代表着系统对于用户在浏览器上的操作不进行处理,所以说,要提前考虑可能会出现的问题。
图4.1即为设计的管理员功能结构,管理员权限操作的功能包括管理员工基本信息,管理收入信息,管理支出信息,增删改查销售订单信息,增删改查员工薪资信息等。

图4.1 管理员功能结构
图4.2即为设计的员工功能结构,员工权限操作的功能包括查看自己的薪资信息,查看销售订单信息,查看公告,更改个人信息与登录密码等。

图4.2 员工功能结构
商业辅助决策系统运行中产生的数据需要按照提前设置的存储规则进行保存,设计出一个符合项目的最优数据存储格式,因为它能减少用户的等待时间,还可以对系统的请求在最短时间内进行响应。所以,对数据库设计时,需要对功能需求进行详细的拆分,以及对业务状态的细分,然后设计具体的存储规则,保证数据库能正常运作,缩短数据处理时间,并在一定程度上降低数据冗余,节省存储空间。
实体-联系图还有一个名称即E-R图,是Entity Relationship Diagram各英文单词首字母的缩写,它这种概念模型通常用于对现实世界进行描述。同时它还是一种能够直观表达数据中实体,联系,属性的有效手段。绘制E-R图能够选择的工具也有很多,但是Office Visio 这款软件在E-R图的绘制上一般都是作为首选工具,因为它是基于可视化处理,使用它创建E-R图非常简单。使用基本的E-R图构成元素,比如椭圆,菱形,矩形,还有实线段来表达对应的信息,椭圆代表属性,即实体的特征,矩形代表实体,即数据库中的一个具体数据表,菱形代表实体中相互关系,实线段主要是完成椭圆,矩形,菱形的连接。
(1)图4.4即为薪资这个实体所拥有的属性值。

图4.4 薪资实体属性图
(2)图4.5即为销售订单这个实体所拥有的属性值。

图4.5 销售订单实体属性图
(3)图4.6即为员工这个实体所拥有的属性值。

图4.6 员工实体属性图
(4)图4.7即为管理员这个实体所拥有的属性值。

图4.7 管理员实体属性图
(5)图4.8即为上面介绍的实体中存在的联系。

图4.8 实体间关系E-R图
本小节主要任务即是根据上述内容进行数据存储结构的设计,实体的属性就用来表示字段名称,不同的字段表示的数据类型以及取值都不相同,以及该表各个字段是否能够保持空等进行说明,设计完成一张数据表的结构之后,在保存时同样要命名,尽量选择英文名称进行命名并保存,还不容易导致系统出错。接下来就对设计的表进行简单说明。
图5.1 即为编码实现的公告管理界面,管理员在公告管理界面中发布公告,已经发布的公告信息如果存在错误信息,可以及时更改,在公告管理界面,管理员对需要删除的公告进行删除,查询公告信息时,需要在查询框中编辑公告名称才可以查询出公告信息,公告信息不仅包括公告图片,公告类型,也包括公告名称,公告发布时间等信息。

图5.1 公告管理界面
图5.2 即为编码实现的收支管理界面,管理员在收支管理界面中新增收支信息,主要是对支出信息或者是收入信息进行登记,已经新增的收支信息存在登记错误的情况,也能及时更改,在收支管理界面,管理员也能删除需要删除的收支信息,查看收支报表,收支信息主要包括收支类型,收支金额信息,以及收支名称等信息。

图5.2 收支管理界面
图5.3 即为编码实现的销售订单管理界面,管理员在销售订单管理界面可以新增销售订单信息,销售订单信息主要包括销售数量,销售时间,销售金额,员工姓名,销售名称,添加时间等信息,销售订单信息存在登记错误的情况也能及时更改,同时在销售订单管理界面,管理员也能删除需要删除的销售订单信息,根据员工姓名查询销售订单,或者是选择销售类型来完成对销售订单信息的筛选。

图5.3 销售订单管理界面
图5.4 即为编码实现的薪资管理界面,管理员在薪资管理界面新增员工薪资,员工薪资主要包括基本工资,奖金,绩效,补贴,实发薪资,添加时间,月份,员工姓名,员工头像,员工手机号等信息,已经存在的员工薪资信息如果存在登记错误的情况,也可以及时更改,在薪资管理界面,管理员可以删除需要删除的薪资信息,提供员工姓名可以对员工薪资信息进行查询,或者选择月份来完成对员工薪资信息的筛选等。

图5.4 薪资管理界面
图5.5 即为编码实现的员工管理界面,管理员新增员工信息,员工信息如果存在登记错误的情况,可以及时更改,在员工管理界面,管理员也能删除需要删除的员工信息,对员工的账户进行密码重置,员工信息主要包括员工身份证号,员工手机,员工姓名,部门,性别,电子邮箱,户籍,现住址等信息,管理员如果需要快速找到需要的员工信息,可以使用员工管理界面的查询功能,查询前,需要在查询框中登记信息,如果选择根据员工姓名查询,则需要对员工的姓名进行登记才能查询,如果选择职位查询,那么需要选择员工的职位信息才能查询员工信息,如果选择部门查询,那么需要选择员工所属的部门才能查询出员工信息。

图5.5 员工管理界面
图5.6 即为编码实现的职位管理界面,管理员在职位管理界面新增职位信息时,只需登记职位名称即可提交,已经存在的职位信息也能进行及时更改,在职位管理界面中,管理员可以删除需要删除的职位信息,查询职位信息也能根据职位名称来查询职位信息等。

图5.6 职位管理界面
图5.7 即为编码实现的部门管理界面,管理员在部门管理界面新增部门信息时,只需登记部门名称即可提交,已经存在的部门信息也能进行及时更改,在部门管理界面中,管理员可以删除需要删除的部门信息,查询部门信息也能根据部门名称来查询部门信息等。

图5.7 部门管理界面
图5.8 即为编码实现的公告查看界面,员工查看公告,只要管理员更新公告,那么员工就能在公告查看界面对公告进行查看,如果公告信息比较多,员工就可以使用公告查看界面的查询功能实现对公告的查询,查询前需要在查询框中编辑公告名称即可实现对公告的查询。

图5.8 公告查看界面
图5.9 即为编码实现的销售订单查看界面,员工在销售订单查看界面中主要是对属于自己的销售订单的信息进行查看,当销售订单信息比较多时,员工可以使用销售订单查看界面的查询功能来实现对销售订单的查询,查询前,需要选择适合的查询方式来进行查询,如果选择根据销售订单类型查询销售订单信息,则会查询并显示出该销售订单类型的销售订单信息。

图5.9 销售订单查看界面
图5.10 即为编码实现的薪资查看界面,员工在薪资查看界面中只能查看属于自己的薪资信息,当薪资信息比较多时,员工可以使用薪资查看界面的查询功能进行薪资查询。

图5.10 薪资查看界面
图5.11 即为编码实现的个人信息界面,员工在个人信息界面中除了不能更改部门和职位信息外,其他的信息包括头像,手机号在内的信息都能进行更改。

图5.11 个人信息界面
可沟通项目方向、预算、交付周期与答辩时间安排,支持按学校要求定制交付内容。
根据你的浏览兴趣与热门趋势,精选可能适合你的毕业设计项目。
该系统是一个基于Java+SpringBoot后端、Vue+Uniapp前端的微信小程序点餐平台。平台实现了在线菜单浏览、购物车管理、订单提交与支付、后台数据统计等核心功能,为餐饮商家提供高效便捷的数字化点餐解决方案。项目采用前后端分离架构,适合作为毕业设计或实际项目开发,展示了现代Web与移动应用系统的完整实现流程。
该项目是一个集成了协同过滤推荐算法、网络爬虫与AI技术的智能减肥小程序。系统采用JAVA+SpringBoot构建后端服务,Vue+uniapp实现跨平台前端,旨在为用户提供个性化的饮食与运动方案。核心功能包括基于用户行为的智能推荐、健康数据管理及社区互动,适合作为毕业设计或实际项目开发,展示了现代Web与移动应用在信息管理与系统开发中的综合实践。
该系统是一个基于JAVA+SpringBoot后端与Vue前端的自动阅卷分析系统,旨在实现高效、准确的试卷批改与学习数据分析。核心功能包括智能识别与评分、错题统计分析、成绩报告生成以及教学效果评估。该系统开发专注于提升阅卷效率与信息管理深度,适用于在线教育、考试机构及毕业设计项目实现,为教学管理与学习分析提供一体化解决方案。
该心理健康测试平台是一个集前端小程序与后端管理系统于一体的综合系统开发项目。平台采用JAVA与SpringBoot构建稳健后端,结合Vue与uniApp实现跨端小程序开发,为用户提供便捷的心理测评与报告服务。系统核心功能包括题库管理、在线测试、数据分析及报告生成,旨在通过信息化手段提升心理健康服务的可及性与专业性,适用于毕业设计或实际项目实现。
该项目是一个基于JAVA+SpringBoot+Vue+uniapp技术栈的前后端分离微信小程序艺术品陶瓷商城系统。系统开发实现了艺术品陶瓷的在线展示、商品管理、用户订单处理及支付集成等核心功能,为陶瓷艺术品的数字化交易提供了完整的信息管理解决方案,适合作为毕业设计或商业项目实现。
该系统是一个基于Java+SpringBoot+Vue的二手车交易管理系统,旨在为用户提供便捷的在线车辆买卖平台。核心功能包括车辆信息发布、智能搜索、在线咨询、交易管理及用户评价等模块。通过前后端分离的系统开发模式,实现了高效的信息管理和流畅的用户体验,适合作为毕业设计或实际项目实现,帮助提升二手车交易效率与透明度。
该项目是一个基于Java、SpringBoot和Vue的故障报修平台,旨在实现高效的设备故障管理与维修流程。系统提供用户在线报修、工单分配、进度跟踪及数据统计等核心功能,适用于企业或校园的日常运维。通过前后端分离架构,确保了系统的可扩展性和维护性,适合作为毕业设计或实际项目实现,展示了现代Web信息管理系统的开发实践。
这是一个基于JAVA+SpringBoot+Vue的前后端分离学校请假管理系统,旨在实现学生请假流程的数字化与高效管理。系统开发涵盖了学生在线提交申请、辅导员与院系审批、请假记录统计等核心功能,优化了传统纸质流程。该项目可作为信息管理系统的毕业设计或实际应用案例,展示了前后端分离架构在项目实现中的优势。