基于JAVA+SpringBoot+Vue+uniapp的微信小程序点餐平台
该系统是一个基于Java+SpringBoot后端、Vue+Uniapp前端的微信小程序点餐平台。平台实现了在线菜单浏览、购物车管理、订单提交与支付、后台数据统计等核心功能,为餐饮商家提供高效便捷的数字化点餐解决方案。项目采用前后端分离架构,适合作为毕业设计或实际项目开发,展示了现代Web与移动应用系统的完整实现流程。
浏览 10 次
Fresh Milk Ordering System Based on SpringBoot and Vue
该系统是一个基于Java+SpringBoot+Vue的鲜牛奶订购管理系统,旨在为用户提供便捷的在线订购服务。核心功能包括商品浏览、订单管理、支付集成和配送跟踪,实现了从下单到配送的全流程信息管理。系统开发采用前后端分离架构,适合作为毕业设计或实际项目实现,展示了现代Web应用在电商领域的典型应用。
该系统是一个基于Java+SpringBoot+Vue的鲜牛奶订购管理系统,旨在为用户提供便捷的在线订购服务。核心功能包括商品浏览、订单管理、支付集成和配送跟踪,实现了从下单到配送的全流程信息管理。系统开发采用前后端分离架构,适合作为毕业设计或实际项目实现,展示了现代Web应用在电商领域的典型应用。
二十一世纪互联网的出现,改变了几千年以来人们的生活,不仅仅是生活物资的丰富,还有精神层次的丰富。在互联网诞生之前,地域位置往往是人们思想上不可跨域的鸿沟,信息的传播速度极慢,信息处理的速度和要求还是通过人们骑马或者是信鸽传递,这些信息传递都是不可控制的,中间很有可能丢失,信息的传递水平决定了人们生活的水平。如今大家都在使用互联网软件产品,从内部管理设置计算机管理,提高内部信息化的管理水准,从外部市场也可以用计算机获取相关数据进行处理,如今各行各业已经严重依赖于计算机了。
本课题研究和开发鲜牛奶订购系统,让安装在计算机上的该系统变成管理人员的小帮手,提高鲜牛奶订购信息处理速度,规范鲜牛奶订购信息处理流程,让管理人员的产出效益更高。
传统处理数据,必须是一张张纸,然后处理完毕又是统计在一张张纸上面,不断的重复处理,最终有个结果给最高层作为参考,这个模式在互联网没有出现之前,是一种常见的事情,信息管理的效率提不上去,人多不一定力量大,因为人多肯定更加消耗资源,并且因为人类需要休息,需要管理,思想会不统一,会偷懒,所以人们研究出专门帮助人们计算的机器,就是计算机的前身,到了互联网时代,人们发现完全可以让程序供应商提供解决方案,自己挑选自己合适的方案来提高自己的产出比。所以在日常工作和生活中会发现各种各样方便人们的工具。
本课题研发的鲜牛奶订购系统,就是提供鲜牛奶订购信息处理的解决方案,它可以短时间处理完信息,并且这些信息都有专门的存储设备,而且数据的备份和迁移都可以设定为无人值守,从人力角度和信息处理角度以及信息安全角度,鲜牛奶订购系统是完胜传统纸质操作的。
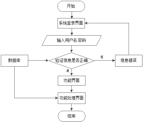
鲜牛奶订购系统投入使用后,使用者如果能看到相应的流程操作图会提高程序的理解能力。
使用者在操作鲜牛奶订购系统中,应该按照本系统提供的操作流程(图3.1即为本系统的操作流程图)进行操作,可以减少操作失误,从而节省进入鲜牛奶订购系统的时间。

图3.1 系统操作流程
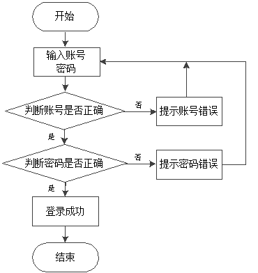
鲜牛奶订购系统通过登录功能(图3.2即为其登录的流程)引导使用者进入指定的功能操作区,也避免非本系统的用户享受本系统提供的服务以及查看本系统提供的信息,进而保证用户安全。

图3.2 登录流程
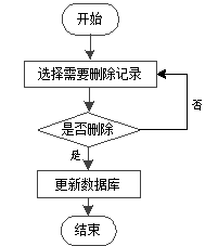
鲜牛奶订购系统在经过长期使用后,会产生很多的数据信息。为了腾出存储空间存放更多的数据,本系统数据库中存储的数据,一些没有参考价值的数据需要进行删除(图3.3即为删除信息的流程),删除数据过程中,为避免误删,使用者要根据系统的提示来决定是否删除数据。

图3.3 删除信息流程
鲜牛奶订购系统提供可视化的功能操作区,非常方便使用者进行数据操作,当使用者往系统中录入数据时(图3.4即为添加信息的流程),本系统也会进行数据合法性的判断,符合要求的数据才能够在数据库指定表中进行登记。

图3.4 添加信息流程
鲜牛奶订购系统根据使用权限的角度进行功能分析,并运用用例图来展示各个权限需要操作的功能。
图3.5即为管理员用例图,管理员权限操作的功能包括管理商家,管理商家星级信息,管理用户,管理商品等。

图3.5 管理员用例图
图3.6即为商家用例图,商家权限操作的功能包括管理商品,回复商品评价,管理商品订单等。

图3.6 商家用例图
图3.7即为用户用例图,用户权限操作的功能包括查看商家,购买商品,提交订单,管理商品订单等。

图3.7 用户用例图
用户对着浏览器操作,肯定会出现某些不可预料的问题,但是不代表着系统对于用户在浏览器上的操作不进行处理,所以说,要提前考虑可能会出现的问题。
图4.1即为设计的管理员功能结构,管理员权限操作的功能包括管理商家,管理商家星级信息,管理用户,管理商品等。

图4.1 管理员功能结构
图4.2即为设计的商家功能结构,商家权限操作的功能包括管理商品,回复商品评价,管理商品订单等。

图4.2 商家功能结构
图4.3即为设计的用户功能结构,用户权限操作的功能包括查看商家,购买商品,提交订单,管理商品订单等。

图4.3 用户功能结构
鲜牛奶订购系统运行中产生的数据需要按照提前设置的存储规则进行保存,设计出一个符合项目的最优数据存储格式,因为它能减少用户的等待时间,还可以对系统的请求在最短时间内进行响应。所以,对数据库设计时,需要对功能需求进行详细的拆分,以及对业务状态的细分,然后设计具体的存储规则,保证数据库能正常运作,缩短数据处理时间,并在一定程度上降低数据冗余,节省存储空间。
实体-联系图还有一个名称即E-R图,是Entity Relationship Diagram各英文单词首字母的缩写,它这种概念模型通常用于对现实世界进行描述。同时它还是一种能够直观表达数据中实体,联系,属性的有效手段。绘制E-R图能够选择的工具也有很多,但是Office Visio 这款软件在E-R图的绘制上一般都是作为首选工具,因为它是基于可视化处理,使用它创建E-R图非常简单。使用基本的E-R图构成元素,比如椭圆,菱形,矩形,还有实线段来表达对应的信息,椭圆代表属性,即实体的特征,矩形代表实体,即数据库中的一个具体数据表,菱形代表实体中相互关系,实线段主要是完成椭圆,矩形,菱形的连接。
(1)图4.4即为商品这个实体所拥有的属性值。商品有商品类型,商品现价,商品名称等。

图4.4 商品实体属性图
(2)图4.5即为商品订单这个实体所拥有的属性值。商品订单有订购数量,订单类型,收货地址等。

图4.5 商品订单实体属性图
(3)图4.6即为商家这个实体所拥有的属性值。商家有邮箱,营业执照,商家星级类型等。

图4.6 商家实体属性图
(4)图4.7即为用户这个实体所拥有的属性值。用户有手机号,电子邮箱,用户头像等。

图4.7 用户实体属性图
(5)图4.8即为上面介绍的实体中存在的联系。

图4.8 实体间关系E-R图
本小节主要任务即是根据上述内容进行数据存储结构的设计,实体的属性就用来表示字段名称,不同的字段表示的数据类型以及取值都不相同,以及该表各个字段是否能够保持空等进行说明,设计完成一张数据表的结构之后,在保存时同样要命名,尽量选择英文名称进行命名并保存,还不容易导致系统出错。接下来就对设计的表进行简单说明。
图5.1 即为编码实现的公告信息管理界面,公告信息包括了公告图片,公告类型,公告标题等,管理员在公告信息管理界面中可以对界面中显示的所有公告信息进行更改,查询,删除。

图5.1 公告信息管理界面
图5.2 即为编码实现的用户管理界面,用户信息有性别,用户手机号,用户身份证号,用户头像等信息。管理员在用户管理界面中可以为本界面显示的所有用户信息进行查询,修改,删除,可以为用户的账号进行重置密码。

图5.2 用户管理界面
图5.3 即为编码实现的商家管理界面,商家信息有营业执照,商家星级类型,商家名称等信息。管理员在商家管理界面中新增商家,更改商家的营业执照,商家星级信息等,可以删除需要删除的商家信息。

图5.3 商家管理界面
图5.4 即为编码实现的商家星级管理界面,商家星级信息有商家星级类型名称等,管理员在商家星级管理界面修改商家星级信息,查询商家星级信息,删除商家星级信息等。

图5.4 商家星级管理界面
图5.5 即为编码实现的商品管理界面,商品信息有商品是否上架,剩余订购数量,商品原价等信息,商家在商品管理界面中为商品的可订购数量进行增加,为商品的可订购数量进行减少,可以上架商品,下架商品以及更改商品信息等。

图5.5 商品管理界面
图5.6 即为编码实现的商品评价管理界面,商家在商品评价管理界面中查看用户对商品的评价信息,商品的评价信息有评价内容,回复内容等,商家需要对商品评价进行回复。

图5.6 商品评价管理界面
图5.7 即为编码实现的商品订单管理界面,商品订单有订单号,实付价格,支付类型,商品照片等信息。商家在商品订单管理界面中对商品订单查询,查询条件有商品类型,商品名称,用户姓名等。管理员也能对商品订单详情进行查看。

图5.7 商品订单管理界面
图5.8 即为编码实现的商家信息界面,用户在商家信息界面中查看商家介绍还有商家的营业执照以及商家的星级信息等。

图5.8 商家信息界面
图5.9 即为编码实现的商品信息界面,用户在商品信息界面中查看评论,可以直接购买商品。

图5.9 商品信息界面
图5.10 即为编码实现的确认下单界面,用户在确认下单界面中可以提交订单,前提是检查购买的物品以及收货的地址信息等是否正确,也需要查看总金额信息以及实付款信息,最后根据实付款的金额进行支付。

图5.10 确认下单界面
图5.11 即为编码实现的商品订单界面,用户在商品订单界面中可以退款,主要是对已支付的订单,发现不需要该订单商品,则可以申请退款,如果订单已经完成,用户可以评价订单。

图5.11 商品订单界面
可沟通项目方向、预算、交付周期与答辩时间安排,支持按学校要求定制交付内容。
根据你的浏览兴趣与热门趋势,精选可能适合你的毕业设计项目。
该系统是一个基于Java+SpringBoot后端、Vue+Uniapp前端的微信小程序点餐平台。平台实现了在线菜单浏览、购物车管理、订单提交与支付、后台数据统计等核心功能,为餐饮商家提供高效便捷的数字化点餐解决方案。项目采用前后端分离架构,适合作为毕业设计或实际项目开发,展示了现代Web与移动应用系统的完整实现流程。
该项目是一个集成了协同过滤推荐算法、网络爬虫与AI技术的智能减肥小程序。系统采用JAVA+SpringBoot构建后端服务,Vue+uniapp实现跨平台前端,旨在为用户提供个性化的饮食与运动方案。核心功能包括基于用户行为的智能推荐、健康数据管理及社区互动,适合作为毕业设计或实际项目开发,展示了现代Web与移动应用在信息管理与系统开发中的综合实践。
该系统是一个基于JAVA+SpringBoot后端与Vue前端的自动阅卷分析系统,旨在实现高效、准确的试卷批改与学习数据分析。核心功能包括智能识别与评分、错题统计分析、成绩报告生成以及教学效果评估。该系统开发专注于提升阅卷效率与信息管理深度,适用于在线教育、考试机构及毕业设计项目实现,为教学管理与学习分析提供一体化解决方案。
该心理健康测试平台是一个集前端小程序与后端管理系统于一体的综合系统开发项目。平台采用JAVA与SpringBoot构建稳健后端,结合Vue与uniApp实现跨端小程序开发,为用户提供便捷的心理测评与报告服务。系统核心功能包括题库管理、在线测试、数据分析及报告生成,旨在通过信息化手段提升心理健康服务的可及性与专业性,适用于毕业设计或实际项目实现。
该项目是一个基于JAVA+SpringBoot+Vue+uniapp技术栈的前后端分离微信小程序艺术品陶瓷商城系统。系统开发实现了艺术品陶瓷的在线展示、商品管理、用户订单处理及支付集成等核心功能,为陶瓷艺术品的数字化交易提供了完整的信息管理解决方案,适合作为毕业设计或商业项目实现。
该系统是一个基于Java+SpringBoot+Vue的二手车交易管理系统,旨在为用户提供便捷的在线车辆买卖平台。核心功能包括车辆信息发布、智能搜索、在线咨询、交易管理及用户评价等模块。通过前后端分离的系统开发模式,实现了高效的信息管理和流畅的用户体验,适合作为毕业设计或实际项目实现,帮助提升二手车交易效率与透明度。
该项目是一个基于Java、SpringBoot和Vue的故障报修平台,旨在实现高效的设备故障管理与维修流程。系统提供用户在线报修、工单分配、进度跟踪及数据统计等核心功能,适用于企业或校园的日常运维。通过前后端分离架构,确保了系统的可扩展性和维护性,适合作为毕业设计或实际项目实现,展示了现代Web信息管理系统的开发实践。
这是一个基于JAVA+SpringBoot+Vue的前后端分离学校请假管理系统,旨在实现学生请假流程的数字化与高效管理。系统开发涵盖了学生在线提交申请、辅导员与院系审批、请假记录统计等核心功能,优化了传统纸质流程。该项目可作为信息管理系统的毕业设计或实际应用案例,展示了前后端分离架构在项目实现中的优势。