基于JAVA+SpringBoot+Vue+uniapp的微信小程序点餐平台
该系统是一个基于Java+SpringBoot后端、Vue+Uniapp前端的微信小程序点餐平台。平台实现了在线菜单浏览、购物车管理、订单提交与支付、后台数据统计等核心功能,为餐饮商家提供高效便捷的数字化点餐解决方案。项目采用前后端分离架构,适合作为毕业设计或实际项目开发,展示了现代Web与移动应用系统的完整实现流程。
浏览 6 次
Student Course Selection System Based on SpringBoot and Vue
该系统是一个基于Java+SpringBoot+Vue技术栈开发的网上选课管理系统,旨在实现学生在线选课、课程信息查询、选课结果管理等功能。系统采用前后端分离架构,提供友好的用户界面和高效的数据处理能力,适用于高校教学管理场景,可作为毕业设计或实际项目实现。
该系统是一个基于Java+SpringBoot+Vue技术栈开发的网上选课管理系统,旨在实现学生在线选课、课程信息查询、选课结果管理等功能。系统采用前后端分离架构,提供友好的用户界面和高效的数据处理能力,适用于高校教学管理场景,可作为毕业设计或实际项目实现。
二十一世纪互联网的出现,改变了几千年以来人们的生活,不仅仅是生活物资的丰富,还有精神层次的丰富。在互联网诞生之前,地域位置往往是人们思想上不可跨域的鸿沟,信息的传播速度极慢,信息处理的速度和要求还是通过人们骑马或者是信鸽传递,这些信息传递都是不可控制的,中间很有可能丢失,信息的传递水平决定了人们生活的水平。如今大家都在使用互联网软件产品,从内部管理设置计算机管理,提高内部信息化的管理水准,从外部市场也可以用计算机获取相关数据进行处理,如今各行各业已经严重依赖于计算机了。
本课题研究和开发学生网上选课系统,让安装在计算机上的该系统变成管理人员的小帮手,提高学生选课信息处理速度,规范学生选课信息处理流程,让管理人员的产出效益更高。
传统处理数据,必须是一张张纸,然后处理完毕又是统计在一张张纸上面,不断的重复处理,最终有个结果给最高层作为参考,这个模式在互联网没有出现之前,是一种常见的事情,信息管理的效率提不上去,人多不一定力量大,因为人多肯定更加消耗资源,并且因为人类需要休息,需要管理,思想会不统一,会偷懒,所以人们研究出专门帮助人们计算的机器,就是计算机的前身,到了互联网时代,人们发现完全可以让程序供应商提供解决方案,自己挑选自己合适的方案来提高自己的产出比。所以在日常工作和生活中会发现各种各样方便人们的工具。
本课题研发的学生网上选课系统,就是提供学生选课信息处理的解决方案,它可以短时间处理完信息,并且这些信息都有专门的存储设备,而且数据的备份和迁移都可以设定为无人值守,从人力角度和信息处理角度以及信息安全角度,学生网上选课系统是完胜传统纸质操作的。
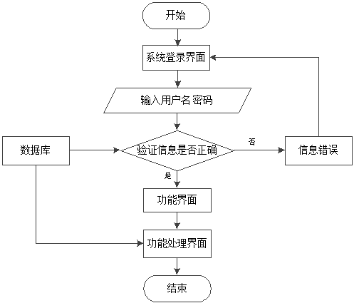
学生网上选课系统投入使用后,使用者如果能看到相应的流程操作图会提高程序的理解能力。
使用者在操作学生网上选课系统中,应该按照本系统提供的操作流程(图3.1即为本系统的操作流程图)进行操作,可以减少操作失误,从而节省进入学生网上选课系统的时间。

图3.1 系统操作流程
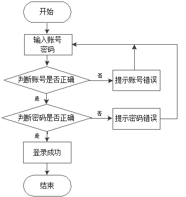
学生网上选课系统通过登录功能(图3.2即为其登录的流程)引导使用者进入指定的功能操作区,也避免非本系统的用户享受本系统提供的服务以及查看本系统提供的信息,进而保证用户安全。

图3.2 登录流程
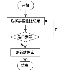
学生网上选课系统在经过长期使用后,会产生很多的数据信息。为了腾出存储空间存放更多的数据,本系统数据库中存储的数据,一些没有参考价值的数据需要进行删除(图3.3即为删除信息的流程),删除数据过程中,为避免误删,使用者要根据系统的提示来决定是否删除数据。

图3.3 删除信息流程
学生网上选课系统提供可视化的功能操作区,非常方便使用者进行数据操作,当使用者往系统中录入数据时(图3.4即为添加信息的流程),本系统也会进行数据合法性的判断,符合要求的数据才能够在数据库指定表中进行登记。

图3.4 添加信息流程
学生网上选课系统根据使用权限的角度进行功能分析,并运用用例图来展示各个权限需要操作的功能。
图3.5即为管理员用例图,管理员权限操作的功能包括管理教学资源,管理课程,管理教学计划,管理选课,管理成绩,管理基础数据,其中基础数据管理包括班级管理,计划类型管理,课程性质管理,院系管理等子功能模块。

图3.5 管理员用例图
图3.6即为老师用例图,老师权限操作的功能包括查看教室,管理课程,管理选课,管理成绩等。

图3.6 老师用例图
图3.7即为学生用例图,学生权限操作的功能包括查看教室,查看课程并选择需要学习的课程,查看成绩等。

图3.7 学生用例图
用户对着浏览器操作,肯定会出现某些不可预料的问题,但是不代表着系统对于用户在浏览器上的操作不进行处理,所以说,要提前考虑可能会出现的问题。
图4.1即为设计的管理员功能结构,管理员权限操作的功能包括管理教学资源,管理课程,管理教学计划,管理选课,管理成绩,管理基础数据,其中基础数据管理包括班级管理,计划类型管理,课程性质管理,院系管理等子功能模块。

图4.1 管理员功能结构
图4.2即为设计的老师功能结构,老师权限操作的功能包括查看教室,管理课程,管理选课,管理成绩等。

图4.2 老师功能结构
图4.3即为设计的学生功能结构,学生权限操作的功能包括查看教室,查看课程并选择需要学习的课程,查看成绩等。

图4.3 学生功能结构
学生网上选课系统运行中产生的数据需要按照提前设置的存储规则进行保存,设计出一个符合项目的最优数据存储格式,因为它能减少用户的等待时间,还可以对系统的请求在最短时间内进行响应。所以,对数据库设计时,需要对功能需求进行详细的拆分,以及对业务状态的细分,然后设计具体的存储规则,保证数据库能正常运作,缩短数据处理时间,并在一定程度上降低数据冗余,节省存储空间。
实体-联系图还有一个名称即E-R图,是Entity Relationship Diagram各英文单词首字母的缩写,它这种概念模型通常用于对现实世界进行描述。同时它还是一种能够直观表达数据中实体,联系,属性的有效手段。绘制E-R图能够选择的工具也有很多,但是Office Visio 这款软件在E-R图的绘制上一般都是作为首选工具,因为它是基于可视化处理,使用它创建E-R图非常简单。使用基本的E-R图构成元素,比如椭圆,菱形,矩形,还有实线段来表达对应的信息,椭圆代表属性,即实体的特征,矩形代表实体,即数据库中的一个具体数据表,菱形代表实体中相互关系,实线段主要是完成椭圆,矩形,菱形的连接。
(1)图4.4即为老师这个实体所拥有的属性值。

图4.4 老师实体属性图
(2)图4.5即为课程这个实体所拥有的属性值。

图4.5 课程实体属性图
(3)图4.6即为学生这个实体所拥有的属性值。

图4.6 学生实体属性图
(4)图4.7即为成绩这个实体所拥有的属性值。

图4.7 成绩实体属性图
(5)图4.8即为上面介绍的实体中存在的联系。

图4.8 实体间关系E-R图
本小节主要任务即是根据上述内容进行数据存储结构的设计,实体的属性就用来表示字段名称,不同的字段表示的数据类型以及取值都不相同,以及该表各个字段是否能够保持空等进行说明,设计完成一张数据表的结构之后,在保存时同样要命名,尽量选择英文名称进行命名并保存,还不容易导致系统出错。接下来就对设计的表进行简单说明。
表4.1 成绩表
字段
注释
类型
空
id (主键)
主键
int(11)
否
xuesheng_id
学生
int(11)
是
kecheng_id
课程
int(11)
是
chengji_types
成绩类型
int(11)
否
chengji_defen
成绩得分
decimal(10,2)
是
chengji_content
成绩详情
text
是
insert_time
录入时间
timestamp
是
create_time
创建时间
timestamp
是
表4.2 教室表
字段
注释
类型
空
id (主键)
主键
int(11)
否
jiaoshi_uuid_number
教室编号
varchar(200)
是
jiaoshi_name
教室名称
varchar(200)
是
jiaoshi_address
教室位置
varchar(200)
是
jiaoshi_content
教室详情
text
是
insert_time
添加时间
timestamp
是
create_time
创建时间
timestamp
是
表4.3 教学计划表
字段
注释
类型
空
id (主键)
主键
int(11)
否
kecheng_id
课程
int(11)
是
jiaoxuejihua_uuid_number
教学计划编号
varchar(200)
是
jiaoxuejihua_name
教学计划名称
varchar(200)
是
jiaoxuejihua_types
计划类型
int(11)
是
jiaoxuejihua_content
计划详情
text
是
insert_time
添加时间
timestamp
是
create_time
创建时间
timestamp
是
表4.4 课程表
字段
注释
类型
空
id (主键)
主键
int(11)
否
laoshi_id
老师
int(11)
是
kecheng_uuid_number
课程编号
varchar(200)
是
kecheng_name
课程名称
varchar(200)
是
kecheng_daima
课程代码
varchar(200)
是
yuanxi_types
院系
int(11)
是
kecheng_xingzhi_types
课程性质
int(11)
是
kecheng_xuefen
课程学分
int(11)
是
kecheng_zongxueshi
总学时
int(11)
是
kecheng_kaohe_types
考核方式
int(11)
是
kecheng_renshu
最大选课人数
int(11)
是
jiezhi_time
选课截止时间
timestamp
是
kecheng_content
课程详情
text
是
insert_time
录入时间
timestamp
是
create_time
创建时间
timestamp
是
表4.5 老师表
字段
注释
类型
空
id (主键)
主键
int(11)
否
username
账户
varchar(200)
是
password
密码
varchar(200)
是
laoshi_name
老师姓名
varchar(200)
是
laoshi_phone
老师手机号
varchar(200)
是
laoshi_photo
老师头像
varchar(200)
是
sex_types
性别
int(11)
是
laoshi_email
电子邮箱
varchar(200)
是
laoshi_shanchang
擅长
varchar(200)
是
laoshi_rongyu
所获荣誉
varchar(200)
是
laoshi_content
老师介绍
text
是
create_time
创建时间
timestamp
是
表4.6 管理员表
字段
注释
类型
空
id (主键)
主键
bigint(20)
否
username
用户名
varchar(100)
否
password
密码
varchar(100)
否
role
角色
varchar(100)
是
addtime
新增时间
timestamp
否
表4.7 选课表
字段
注释
类型
空
id (主键)
主键
int(11)
否
xuesheng_id
学生
int(11)
是
kecheng_id
课程
int(11)
是
xuanke_uuid_number
选课编号
varchar(200)
是
insert_time
选课时间
timestamp
是
create_time
创建时间
timestamp
是
表4.8 学生表
字段
注释
类型
空
id (主键)
主键
int(11)
否
username
账户
varchar(200)
是
password
密码
varchar(200)
是
xuesheng_name
学生姓名
varchar(200)
是
xuesheng_phone
学生手机号
varchar(200)
是
xuesheng_id_number
学生身份证号
varchar(200)
是
xuesheng_photo
学生头像
varchar(200)
是
sex_types
性别
int(11)
是
banji_types
班级
int(11)
是
xuesheng_email
电子邮箱
varchar(200)
是
create_time
创建时间
timestamp
是
图5.1 即为编码实现的教室管理界面,教室信息包括教室名称,教室位置,教室编号等信息,管理可以使用修改功能对登记有误的教室信息进行修改,可以删除需要删除的教室信息等。

图5.1 教室管理界面
图5.2 即为编码实现的课程管理界面,课程信息包括课程名称,课程性质,课程学分,总学时,考核方式等信息,管理可以使用修改功能对登记有误的课程信息进行修改,可以删除需要删除的课程信息等。

图5.2 课程管理界面
图5.3 即为编码实现的老师管理界面,老师信息包括擅长,性别,姓名,老师头像等信息,管理员可以删除需要删除的老师信息,可以查询老师,重置老师账号的密码等。

图5.3 老师管理界面
图5.4 即为编码实现的教学计划管理界面,教学计划信息包括教学计划名称,教学计划类型,教学计划编号,课程名称等信息,老师可以查询教学计划信息,可以新增教学计划信息,可以删除需要删除的教学计划信息等。

图5.4 教学计划管理界面
图5.5 即为编码实现的选课管理界面,选课信息包括学生手机号,学生头像,学生姓名,课程名称,课程编号等信息,老师通过课程名称,学生姓名或选课编号都能查询学生选课信息,也能对学生选课详情进行查看。

图5.5 选课管理界面
图5.6 即为编码实现的成绩管理界面,老师对学生所选课程录入成绩,可以修改成绩得分,成绩类型以及成绩详情等信息,可以删除需要删除的成绩信息等。

图5.6 成绩管理界面
图5.7 即为编码实现的课程管理界面,学生查看课程考核方式,查看最大选课人数,选课截止时间,课程代码等信息,学生点击信息显示栏右侧的选课按钮即可选择对应课程。

图5.7 课程管理界面
图5.8 即为编码实现的选课查看界面,学生完成选课之后,在选课查看界面对已选课程的详细进行查看。

图5.8 选课查看界面
图5.9 即为编码实现的成绩查看界面,学生查看选课课程的成绩得分信息,成绩类型信息,课程名称信息等。

图5.9 成绩查看界面
可沟通项目方向、预算、交付周期与答辩时间安排,支持按学校要求定制交付内容。
根据你的浏览兴趣与热门趋势,精选可能适合你的毕业设计项目。
该系统是一个基于Java+SpringBoot后端、Vue+Uniapp前端的微信小程序点餐平台。平台实现了在线菜单浏览、购物车管理、订单提交与支付、后台数据统计等核心功能,为餐饮商家提供高效便捷的数字化点餐解决方案。项目采用前后端分离架构,适合作为毕业设计或实际项目开发,展示了现代Web与移动应用系统的完整实现流程。
该项目是一个集成了协同过滤推荐算法、网络爬虫与AI技术的智能减肥小程序。系统采用JAVA+SpringBoot构建后端服务,Vue+uniapp实现跨平台前端,旨在为用户提供个性化的饮食与运动方案。核心功能包括基于用户行为的智能推荐、健康数据管理及社区互动,适合作为毕业设计或实际项目开发,展示了现代Web与移动应用在信息管理与系统开发中的综合实践。
该系统是一个基于JAVA+SpringBoot后端与Vue前端的自动阅卷分析系统,旨在实现高效、准确的试卷批改与学习数据分析。核心功能包括智能识别与评分、错题统计分析、成绩报告生成以及教学效果评估。该系统开发专注于提升阅卷效率与信息管理深度,适用于在线教育、考试机构及毕业设计项目实现,为教学管理与学习分析提供一体化解决方案。
该心理健康测试平台是一个集前端小程序与后端管理系统于一体的综合系统开发项目。平台采用JAVA与SpringBoot构建稳健后端,结合Vue与uniApp实现跨端小程序开发,为用户提供便捷的心理测评与报告服务。系统核心功能包括题库管理、在线测试、数据分析及报告生成,旨在通过信息化手段提升心理健康服务的可及性与专业性,适用于毕业设计或实际项目实现。
该项目是一个基于JAVA+SpringBoot+Vue+uniapp技术栈的前后端分离微信小程序艺术品陶瓷商城系统。系统开发实现了艺术品陶瓷的在线展示、商品管理、用户订单处理及支付集成等核心功能,为陶瓷艺术品的数字化交易提供了完整的信息管理解决方案,适合作为毕业设计或商业项目实现。
该系统是一个基于Java+SpringBoot+Vue的二手车交易管理系统,旨在为用户提供便捷的在线车辆买卖平台。核心功能包括车辆信息发布、智能搜索、在线咨询、交易管理及用户评价等模块。通过前后端分离的系统开发模式,实现了高效的信息管理和流畅的用户体验,适合作为毕业设计或实际项目实现,帮助提升二手车交易效率与透明度。
该项目是一个基于Java、SpringBoot和Vue的故障报修平台,旨在实现高效的设备故障管理与维修流程。系统提供用户在线报修、工单分配、进度跟踪及数据统计等核心功能,适用于企业或校园的日常运维。通过前后端分离架构,确保了系统的可扩展性和维护性,适合作为毕业设计或实际项目实现,展示了现代Web信息管理系统的开发实践。
这是一个基于JAVA+SpringBoot+Vue的前后端分离学校请假管理系统,旨在实现学生请假流程的数字化与高效管理。系统开发涵盖了学生在线提交申请、辅导员与院系审批、请假记录统计等核心功能,优化了传统纸质流程。该项目可作为信息管理系统的毕业设计或实际应用案例,展示了前后端分离架构在项目实现中的优势。