基于JAVA+SpringBoot+Vue+uniapp的微信小程序点餐平台
该系统是一个基于Java+SpringBoot后端、Vue+Uniapp前端的微信小程序点餐平台。平台实现了在线菜单浏览、购物车管理、订单提交与支付、后台数据统计等核心功能,为餐饮商家提供高效便捷的数字化点餐解决方案。项目采用前后端分离架构,适合作为毕业设计或实际项目开发,展示了现代Web与移动应用系统的完整实现流程。
浏览 4 次
Decoration Engineering Management System Based on JAVA+SpringBoot+Vue
该系统是一个基于JAVA+SpringBoot后端与Vue前端的装饰工程管理系统,旨在实现装饰项目全流程的信息化管理。核心功能包括项目进度跟踪、材料库存管理、成本预算控制以及客户信息维护。该系统开发适用于中小型装饰公司,可作为毕业设计或实际项目实现,有效提升工程管理效率与协同办公能力。
该系统是一个基于JAVA+SpringBoot后端与Vue前端的装饰工程管理系统,旨在实现装饰项目全流程的信息化管理。核心功能包括项目进度跟踪、材料库存管理、成本预算控制以及客户信息维护。该系统开发适用于中小型装饰公司,可作为毕业设计或实际项目实现,有效提升工程管理效率与协同办公能力。
二十一世纪互联网的出现,改变了几千年以来人们的生活,不仅仅是生活物资的丰富,还有精神层次的丰富。在互联网诞生之前,地域位置往往是人们思想上不可跨域的鸿沟,信息的传播速度极慢,信息处理的速度和要求还是通过人们骑马或者是信鸽传递,这些信息传递都是不可控制的,中间很有可能丢失,信息的传递水平决定了人们生活的水平。如今大家都在使用互联网软件产品,从内部管理设置计算机管理,提高内部信息化的管理水准,从外部市场也可以用计算机获取相关数据进行处理,如今各行各业已经严重依赖于计算机了。
本课题研究和开发装饰工程管理系统——项目立项子系统,让安装在计算机上的该系统变成管理人员的小帮手,提高装饰工程项目信息处理速度,规范装饰工程项目信息处理流程,让管理人员的产出效益更高。
传统处理数据,必须是一张张纸,然后处理完毕又是统计在一张张纸上面,不断的重复处理,最终有个结果给最高层作为参考,这个模式在互联网没有出现之前,是一种常见的事情,信息管理的效率提不上去,人多不一定力量大,因为人多肯定更加消耗资源,并且因为人类需要休息,需要管理,思想会不统一,会偷懒,所以人们研究出专门帮助人们计算的机器,就是计算机的前身,到了互联网时代,人们发现完全可以让程序供应商提供解决方案,自己挑选自己合适的方案来提高自己的产出比。所以在日常工作和生活中会发现各种各样方便人们的工具。
本课题研发的装饰工程管理系统——项目立项子系统,就是提供装饰工程项目信息处理的解决方案,它可以短时间处理完信息,并且这些信息都有专门的存储设备,而且数据的备份和迁移都可以设定为无人值守,从人力角度和信息处理角度以及信息安全角度,装饰工程管理系统——项目立项子系统是完胜传统纸质操作的。
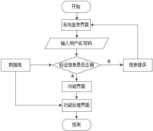
装饰工程管理系统——项目立项子系统投入使用后,使用者如果能看到相应的流程操作图会提高程序的理解能力。
使用者在操作装饰工程管理系统——项目立项子系统中,应该按照本系统提供的操作流程(图3.1即为本系统的操作流程图)进行操作,可以减少操作失误,从而节省进入装饰工程管理系统——项目立项子系统的时间。

图3.1 系统操作流程
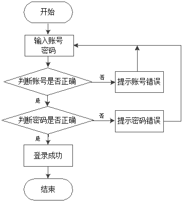
装饰工程管理系统——项目立项子系统通过登录功能(图3.2即为其登录的流程)引导使用者进入指定的功能操作区,也避免非本系统的用户享受本系统提供的服务以及查看本系统提供的信息,进而保证用户安全。

图3.2 登录流程
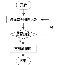
装饰工程管理系统——项目立项子系统在经过长期使用后,会产生很多的数据信息。为了腾出存储空间存放更多的数据,本系统数据库中存储的数据,一些没有参考价值的数据需要进行删除(图3.3即为删除信息的流程),删除数据过程中,为避免误删,使用者要根据系统的提示来决定是否删除数据。

图3.3 删除信息流程
装饰工程管理系统——项目立项子系统提供可视化的功能操作区,非常方便使用者进行数据操作,当使用者往系统中录入数据时(图3.4即为添加信息的流程),本系统也会进行数据合法性的判断,符合要求的数据才能够在数据库指定表中进行登记。

图3.4 添加信息流程
装饰工程管理系统——项目立项子系统根据使用权限的角度进行功能分析,并运用用例图来展示各个权限需要操作的功能。
图3.5即为管理员用例图,管理员权限操作的功能包括管理合同信息,管理合同报价,管理立项项目,管理预算报价,管理装修进度,管理员工,管理客户等信息。

图3.5 管理员用例图
图3.6即为员工用例图,员工权限操作的功能包括对合同信息,合同报价信息,立项项目信息,预算报价信息,装饰材料总计划信息,装修进度信息等进行新增并管理。

图3.6 员工用例图
图3.7即为客户用例图,客户权限操作的功能包括查看合同报价,查看合同信息,查看立项项目,查看预算报价,查看装修进度,查看公告信息等。

图3.7 客户用例图
用户对着浏览器操作,肯定会出现某些不可预料的问题,但是不代表着系统对于用户在浏览器上的操作不进行处理,所以说,要提前考虑可能会出现的问题。
图4.1即为设计的管理员功能结构,管理员权限操作的功能包括管理合同信息,管理合同报价,管理立项项目,管理预算报价,管理装修进度,管理员工,管理客户等信息。

图4.1 管理员功能结构
图4.2即为设计的员工功能结构,员工权限操作的功能包括对合同信息,合同报价信息,立项项目信息,预算报价信息,装饰材料总计划信息,装修进度信息等进行新增并管理。

图4.2 员工功能结构
图4.3即为设计的客户功能结构,客户权限操作的功能包括查看合同报价,查看合同信息,查看立项项目,查看预算报价,查看装修进度,查看公告信息等。

图4.3 客户功能结构
装饰工程管理系统——项目立项子系统运行中产生的数据需要按照提前设置的存储规则进行保存,设计出一个符合项目的最优数据存储格式,因为它能减少用户的等待时间,还可以对系统的请求在最短时间内进行响应。所以,对数据库设计时,需要对功能需求进行详细的拆分,以及对业务状态的细分,然后设计具体的存储规则,保证数据库能正常运作,缩短数据处理时间,并在一定程度上降低数据冗余,节省存储空间。
实体-联系图还有一个名称即E-R图,是Entity Relationship Diagram各英文单词首字母的缩写,它这种概念模型通常用于对现实世界进行描述。同时它还是一种能够直观表达数据中实体,联系,属性的有效手段。绘制E-R图能够选择的工具也有很多,但是Office Visio 这款软件在E-R图的绘制上一般都是作为首选工具,因为它是基于可视化处理,使用它创建E-R图非常简单。使用基本的E-R图构成元素,比如椭圆,菱形,矩形,还有实线段来表达对应的信息,椭圆代表属性,即实体的特征,矩形代表实体,即数据库中的一个具体数据表,菱形代表实体中相互关系,实线段主要是完成椭圆,矩形,菱形的连接。
(1)图4.4即为客户这个实体所拥有的属性值。

图4.4 客户实体属性图
(2)图4.5即为立项项目这个实体所拥有的属性值。

图4.5 立项项目实体属性图
(3)图4.6即为员工这个实体所拥有的属性值。

图4.6 员工实体属性图
(4)图4.7即为装修进度这个实体所拥有的属性值。

图4.7 装修进度实体属性图
(5)图4.8即为管理员这个实体所拥有的属性值。

图4.8 管理员实体属性图
(6)图4.9即为上面介绍的实体中存在的联系。

图4.9 实体间关系E-R图
本小节主要任务即是根据上述内容进行数据存储结构的设计,实体的属性就用来表示字段名称,不同的字段表示的数据类型以及取值都不相同,以及该表各个字段是否能够保持空等进行说明,设计完成一张数据表的结构之后,在保存时同样要命名,尽量选择英文名称进行命名并保存,还不容易导致系统出错。接下来就对设计的表进行简单说明。
表4.1 合同管理表
字段
注释
类型
空
id (主键)
主键
int(11)
否
lixiangxiangmu_id
立项项目
int(11)
是
hetong_name
合同名称
varchar(200)
是
hetong_file
合同文件
varchar(200)
是
hetong_text
合同详情
text
是
insert_time
添加时间
timestamp
是
create_time
创建时间
timestamp
是
表4.2 合同报价表
字段
注释
类型
空
id (主键)
主键
int(11)
否
hetong_id
合同
int(11)
是
hetongbaojia_money
报价金额
decimal(10,2)
是
insert_time
添加时间
timestamp
是
create_time
创建时间
timestamp
是
表4.3 客户表
字段
注释
类型
空
id (主键)
主键
int(11)
否
username
账户
varchar(200)
是
password
密码
varchar(200)
是
kehu_name
客户姓名
varchar(200)
是
kehu_photo
头像
varchar(255)
是
sex_types
性别
int(11)
是
kehu_phone
联系方式
varchar(200)
是
kehu_email
邮箱
varchar(200)
是
kehu_delete
假删
int(11)
是
create_time
创建时间
timestamp
是
表4.4 立项项目表
字段
注释
类型
空
id (主键)
主键
int(11)
否
lixiangxiangmu_uuid_number
项目编号
varchar(200)
是
lixiangxiangmu_name
项目名称
varchar(200)
是
yonghu_id
员工
int(11)
是
kehu_id
客户
int(11)
是
lixiangxiangmu_types
项目类型
int(11)
是
lixiangxiangmu_file
项目文件
varchar(200)
是
lixiangxiangmu_yesno_types
审核结果
int(11)
是
lixiangxiangmu_yesno_text
审核原因
text
是
create_time
创建时间
timestamp
是
表4.5 公告信息表
字段
注释
类型
空
id (主键)
主键
int(11)
否
news_name
公告标题
varchar(200)
是
news_types
公告类型
int(11)
是
news_photo
公告图片
varchar(200)
是
insert_time
公告时间
timestamp
是
news_content
公告详情
text
是
create_time
创建时间
timestamp
是
表4.6 管理员表
字段
注释
类型
空
id (主键)
主键
bigint(20)
否
username
用户名
varchar(100)
否
password
密码
varchar(100)
否
role
角色
varchar(100)
是
addtime
新增时间
timestamp
否
表4.7 员工表
字段
注释
类型
空
id (主键)
主键
int(11)
否
username
账户
varchar(200)
是
password
密码
varchar(200)
是
yonghu_name
员工姓名
varchar(200)
是
yonghu_photo
头像
varchar(255)
是
sex_types
性别
int(11)
是
yonghu_phone
联系方式
varchar(200)
是
yonghu_id_number
员工身份证号
varchar(200)
是
yonghu_email
邮箱
varchar(200)
是
yonghu_delete
假删
int(11)
是
create_time
创建时间
timestamp
是
表4.8 预算报价表
字段
注释
类型
空
id (主键)
主键
int(11)
否
lixiangxiangmu_id
立项项目
int(11)
是
yushuanbaojia_money
报价金额
decimal(10,2)
是
insert_time
添加时间
timestamp
是
create_time
创建时间
timestamp
是
表4.9 装饰材料总计划表
字段
注释
类型
空
id (主键)
主键
int(11)
否
lixiangxiangmu_id
立项项目
int(11)
是
zhuangshicailiao_name
材料名称
varchar(200)
是
zhuangshicailiao_photo
材料图片
varchar(255)
是
zhuangshicailiao_money
材料价格
decimal(10,2)
是
zhuangshicailiao_types
材料类型
int(11)
是
zhuangshicailiao_number
采购数量
int(11)
是
zhuangshicailiao_danwei
单位
varchar(255)
是
zhuangshicailiao_text
材料详情
text
是
insert_time
添加时间
timestamp
是
create_time
创建时间
timestamp
是
表4.10 装修进度表
字段
注释
类型
空
id (主键)
主键
int(11)
否
lixiangxiangmu_id
立项项目
int(11)
是
zhuangxiujindu_name
进度标题
varchar(200)
是
zhuangxiujindu_photo
进度图片
varchar(255)
是
zhuangxiujindu_text
进度详情
text
是
insert_time
添加时间
timestamp
是
create_time
创建时间
timestamp
是
图5.1 即为编码实现的立项项目管理界面,立项项目信息包括项目名称,项目文件,项目类型等信息,管理员审核立项项目信息,下载立项项目文件,查询立项项目信息等。

图5.1 立项项目管理界面
图5.2 即为编码实现的合同报价管理界面,合同报价信息包括合同详情,报价金额,合同标题等信息,管理员可以修改合同报价信息,删除需要删除的合同报价信息等。

图5.2 合同报价管理界面
图5.3 即为编码实现的装饰材料总计划管理界面,装饰材料总计划信息包括材料名称,材料价格,材料采购数量,材料详情等信息,管理员可以修改装饰材料总计划信息,可以查询装饰材料总计划信息,可以删除装饰材料总计划信息等。

图5.3 装饰材料总计划管理界面
图5.4 即为编码实现的客户管理界面,客户信息包括联系方式,姓名,性别等信息,管理员可以删除需要删除的客户信息,可以查询客户等。

图5.4 客户管理界面
图5.5 即为编码实现的新增立项项目界面,员工在新增立项项目界面中登记立项项目信息,主要包括客户姓名,联系方式,项目类型,项目文件等信息,登记完成立项项目信息之后,直接提交。

图5.5 新增立项项目界面
图5.6 即为编码实现的预算报价管理界面,员工可以新增预算报价信息,可以查看预算报价详细信息。

图5.6 预算报价管理界面
图5.7 即为编码实现的合同信息管理界面,员工新增项目合同信息,下载项目文件,下载合同文件,查看合同详细信息等。

图5.7 合同信息管理界面
图5.8 即为编码实现的装修进度查看界面,客户自己在装修进度查看界面查看装修进度图片,装修进度详情信息,可以通过装修进度标题查询装修进度信息,也能根据项目名称查询装修进度信息等。

图5.8 装修进度查看界面
图5.9 即为编码实现的合同报价查看界面,客户查看合同报价金额,查看合同详情,下载合同文件。

图5.9 合同报价查看界面
图5.10 即为编码实现的装饰材料总计划查看界面,客户查看材料价格,材料图片,采购数量,材料详情,材料名称等信息,可以查看装饰材料总计划详情信息,同时可以根据材料名称或项目名称来查询装饰材料总计划信息等。

图5.10 装饰材料总计划查看界面
可沟通项目方向、预算、交付周期与答辩时间安排,支持按学校要求定制交付内容。
根据你的浏览兴趣与热门趋势,精选可能适合你的毕业设计项目。
该系统是一个基于Java+SpringBoot后端、Vue+Uniapp前端的微信小程序点餐平台。平台实现了在线菜单浏览、购物车管理、订单提交与支付、后台数据统计等核心功能,为餐饮商家提供高效便捷的数字化点餐解决方案。项目采用前后端分离架构,适合作为毕业设计或实际项目开发,展示了现代Web与移动应用系统的完整实现流程。
该项目是一个集成了协同过滤推荐算法、网络爬虫与AI技术的智能减肥小程序。系统采用JAVA+SpringBoot构建后端服务,Vue+uniapp实现跨平台前端,旨在为用户提供个性化的饮食与运动方案。核心功能包括基于用户行为的智能推荐、健康数据管理及社区互动,适合作为毕业设计或实际项目开发,展示了现代Web与移动应用在信息管理与系统开发中的综合实践。
该系统是一个基于JAVA+SpringBoot后端与Vue前端的自动阅卷分析系统,旨在实现高效、准确的试卷批改与学习数据分析。核心功能包括智能识别与评分、错题统计分析、成绩报告生成以及教学效果评估。该系统开发专注于提升阅卷效率与信息管理深度,适用于在线教育、考试机构及毕业设计项目实现,为教学管理与学习分析提供一体化解决方案。
该心理健康测试平台是一个集前端小程序与后端管理系统于一体的综合系统开发项目。平台采用JAVA与SpringBoot构建稳健后端,结合Vue与uniApp实现跨端小程序开发,为用户提供便捷的心理测评与报告服务。系统核心功能包括题库管理、在线测试、数据分析及报告生成,旨在通过信息化手段提升心理健康服务的可及性与专业性,适用于毕业设计或实际项目实现。
该项目是一个基于JAVA+SpringBoot+Vue+uniapp技术栈的前后端分离微信小程序艺术品陶瓷商城系统。系统开发实现了艺术品陶瓷的在线展示、商品管理、用户订单处理及支付集成等核心功能,为陶瓷艺术品的数字化交易提供了完整的信息管理解决方案,适合作为毕业设计或商业项目实现。
该系统是一个基于Java+SpringBoot+Vue的二手车交易管理系统,旨在为用户提供便捷的在线车辆买卖平台。核心功能包括车辆信息发布、智能搜索、在线咨询、交易管理及用户评价等模块。通过前后端分离的系统开发模式,实现了高效的信息管理和流畅的用户体验,适合作为毕业设计或实际项目实现,帮助提升二手车交易效率与透明度。
该项目是一个基于Java、SpringBoot和Vue的故障报修平台,旨在实现高效的设备故障管理与维修流程。系统提供用户在线报修、工单分配、进度跟踪及数据统计等核心功能,适用于企业或校园的日常运维。通过前后端分离架构,确保了系统的可扩展性和维护性,适合作为毕业设计或实际项目实现,展示了现代Web信息管理系统的开发实践。
这是一个基于JAVA+SpringBoot+Vue的前后端分离学校请假管理系统,旨在实现学生请假流程的数字化与高效管理。系统开发涵盖了学生在线提交申请、辅导员与院系审批、请假记录统计等核心功能,优化了传统纸质流程。该项目可作为信息管理系统的毕业设计或实际应用案例,展示了前后端分离架构在项目实现中的优势。