基于JAVA+SpringBoot+Vue+uniapp的微信小程序点餐平台
该系统是一个基于Java+SpringBoot后端、Vue+Uniapp前端的微信小程序点餐平台。平台实现了在线菜单浏览、购物车管理、订单提交与支付、后台数据统计等核心功能,为餐饮商家提供高效便捷的数字化点餐解决方案。项目采用前后端分离架构,适合作为毕业设计或实际项目开发,展示了现代Web与移动应用系统的完整实现流程。
浏览 21 次
Gymnasium Reservation Management System Based on SpringBoot and Vue
该系统是一个基于JAVA+SpringBoot+Vue的体育馆使用预约平台,旨在实现体育馆资源的在线管理与预约服务。核心功能包括用户注册登录、场地信息展示、在线预约、订单管理及后台数据统计。该系统开发采用前后端分离架构,提升了系统的可维护性和扩展性,适用于毕业设计或实际项目实现,为体育馆的信息化管理提供高效解决方案。
该系统是一个基于JAVA+SpringBoot+Vue的体育馆使用预约平台,旨在实现体育馆资源的在线管理与预约服务。核心功能包括用户注册登录、场地信息展示、在线预约、订单管理及后台数据统计。该系统开发采用前后端分离架构,提升了系统的可维护性和扩展性,适用于毕业设计或实际项目实现,为体育馆的信息化管理提供高效解决方案。
二十一世纪互联网的出现,改变了几千年以来人们的生活,不仅仅是生活物资的丰富,还有精神层次的丰富。时代进步的标志,就是让人们过上更好的生活。在互联网诞生之前,地域位置往往是人们思想上不可跨域的鸿沟,信息的传播速度极慢,信息处理的速度和要求还是通过人们骑马或者是信鸽传递,这些信息传递都是不可控制的,中间很有可能丢失,信息的传递水平决定了人们生活的水平。现如今,大家都在用互联网来实现自己的目的,从内部管理设置计算机管理,提高内部信息管理水平,从外部市场也可以用计算机获取相关数据进行处理,如今各行各业已经严重依赖于计算机了。
本课题研究和开发体育馆使用预约平台,让安装在计算机上的该系统变成管理人员的小帮手,提高场地预约信息处理速度,规范场地预约信息处理流程,让管理人员的产出效益更高。
体育馆使用预约平台投入使用后,其各个功能的内部操作逻辑需要使用者通过流程图来进行了解。
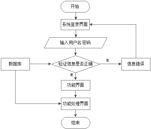
1.操作流程
使用者在操作体育馆使用预约平台中,应该按照本系统提供的操作流程(图3.1即为本系统的操作流程图)进行操作,这样可以减少使用者操作中出现的错误,从而节省进入体育馆使用预约平台的时间。

图3.1 系统操作流程
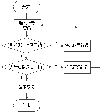
2.登录流程
体育馆使用预约平台通过登录功能(图3.2即为其登录的流程)引导使用者进入指定的功能操作区,也避免非本系统的用户享受本系统提供的服务以及查看本系统提供的信息,从而保障本系统用户的安全使用。

图3.2 登录流程
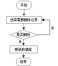
3.删除信息流程
体育馆使用预约平台在经过长期使用后,会产生很多的数据信息。为了腾出存储空间存放更多的数据,本系统数据库中存储的数据,一些没有参考价值的数据需要进行删除(图3.3即为删除信息的流程),删除数据过程中,为避免误删,使用者要根据系统的提示来决定是否删除数据。

图3.3 删除信息流程
体育馆使用预约平台提供可视化的功能操作区,非常方便使用者进行数据操作,当使用者往系统中录入数据时(图3.4即为添加信息的流程),本系统也会进行数据合法性的判断,符合要求的数据才能够在数据库指定表中进行登记。

图3.4 添加信息流程
在需求分析中就应该对项目所需服务器性能进行分析,这样才符合正常的分析流程。只谈功能需求不谈性能需求,是一件很严重的事情,可能会导致使用过程中出现一系列不可预测的问题,所以性能需求也是需要考虑的重要项。
下面就是从几个方面来进行系统的性能分析,从每个角度来分析系统性能。
(1)系统数据的容量:从数据角度来分析,每个表和每个数据库,达到的数据量到一定的程度,是否需要分表或者是分库,超过了数据的设定限度,可能会导致数据反映迟钝,容错量增加。
(2)数据精度的要求:需要对需求分析里面数据设定环节,考虑相应的数据精度问题,需要发现数据是常用的精度还是非常用的精度,进而设定不同的数值。数据的精度问题,会直接导致设计的性能问题。
(3)时间响应要求:从用户提交操作,到页面反映,中间有个数据处理的问题,如果数据量大,那么考虑索引问题和分库问题,数据量再大就要考虑增加列式数据库的问题,这些都要根据数据量的增加以及逻辑的严密性来进行判断,才能符合用户的要求,毕竟响应时间太久操作起来也不舒服。
系统的性能需求从业务需求之初就能大致了解到性能需求相关的概念,再从系统性能需求来逐条实现,可以让设计的系统有使用价值。
体育馆使用预约平台根据使用权限的角度进行功能分析,并运用用例图来展示各个权限需要操作的功能。
图3.5即为管理员用例图,管理员权限操作的功能包括对注册用户信息的管理,对场地,场地预约订单,公告,论坛帖子等信息的管理。

图3.5 管理员用例图
图3.6即为用户用例图,用户权限操作的功能包括参与论坛帖子发布与评论,查看公告,预约场地,收藏场地等。

图3.6 用户用例图
系统的设计一切都是为了用户的使用,虽然用户使用过程中可能只是面对着浏览器进行各种操作,但是不代表着系统对于用户在浏览器上的操作不进行处理,所以说,设计一个系统需要考虑到方方面面。
图4.1即为设计的管理员功能结构,管理员权限操作的功能包括对注册用户信息的管理,对场地,场地预约订单,公告,论坛帖子等信息的管理。

图4.1 管理员功能结构
图4.2即为设计的用户功能结构,用户权限操作的功能包括参与论坛帖子发布与评论,查看公告,预约场地,收藏场地等。

图4.2 用户功能结构
编程人员在搭建的开发环境中,运用编程技术实现本系统设计的各个操作权限的功能。在本节中,就展示部分操作权限的功能与界面。
图5.1 即为编码实现的论坛管理界面,管理员在该界面中查看论坛回复信息,修改论坛帖子内容,可以删除论坛帖子。论坛信息包含帖子标题,用户姓名,用户手机号,用户身份证,查询的时候可以通过这些信息查询出来结果,添加内容的时候需要输入帖子类型,帖子标题,发布内容。

图5.1 论坛管理界面
图5.2 即为编码实现的用户管理界面,管理员在该界面中为注册系统的用户重置密码,更改用户的头像,电子邮箱等基础信息,删除需要删除的用户。用户信息包含账号,密码,手机号,身份证,头像,性别,电子信箱,余额等。查询的时候只需要提供用户姓名,手机号,身份证就可以查询。

图5.2 用户管理界面
图5.3 即为编码实现的场地管理界面,管理员在该界面中可以更改场地信息,新增新的场地信息,删除需要删除的场地资料。场地搜索只需要输入场地名称,场地类型就可以查到结果。新增场地则需要输入场地编号,场地名称,照片,类型,原价,现价,时间段,半全场,推荐吃饭地点,场地介绍等。

图5.3 场地管理界面
图5.4 即为编码实现的场地订单管理界面,管理员在该界面中对用户预约的场地订单进行查询,更改等,查看场地预约订单的预约时间段信息以及订单类型等信息。可以通过输入场地名称,类型,用户姓名,用户手机号,用户身份证号来进行查询场地预约信息。

图5.4 场地订单管理界面
图5.5 即为编码实现的公告信息管理界面,管理员在该界面中负责发布公告信息,更改公告信息的部分信息,删除需要删除的公告。

图5.5 公告信息管理界面
图5.6 即为编码实现的场地信息界面,用户在该界面中对场地进行预定,或收藏场地方便下次查看场地信息。可以看到的场地名称,类型,原价,现价,人数,点击次数,半全场,推荐吃饭地点,订购日期,订购时间段详情介绍。

图5.6 场地信息界面
图5.7 即为编码实现的在线论坛界面,用户在该界面中对论坛所有帖子进行查看,查看帖子之后可以发布帖子评论,用户也能点击发布帖子链接进入新界面发布自己的帖子。主要可以看到帖子标题,发布人权限,发布时间,可以对这些帖子进行回复操作。

图5.7 在线论坛界面
图5.8 即为编码实现的场地预约界面,用户在该界面中浏览已经预约的场地。如果存在误操作,用户可以取消预约的场地。在个人中心我的场地预约里面,有全部场地预约,已使用,取消预约,已预约这几个状态的预约信息,已经取消预约的不能再取消,已预约尚未取消预约的才可以取消预约。

图5.8 场地预约界面
可沟通项目方向、预算、交付周期与答辩时间安排,支持按学校要求定制交付内容。
根据你的浏览兴趣与热门趋势,精选可能适合你的毕业设计项目。
该系统是一个基于Java+SpringBoot后端、Vue+Uniapp前端的微信小程序点餐平台。平台实现了在线菜单浏览、购物车管理、订单提交与支付、后台数据统计等核心功能,为餐饮商家提供高效便捷的数字化点餐解决方案。项目采用前后端分离架构,适合作为毕业设计或实际项目开发,展示了现代Web与移动应用系统的完整实现流程。
该项目是一个集成了协同过滤推荐算法、网络爬虫与AI技术的智能减肥小程序。系统采用JAVA+SpringBoot构建后端服务,Vue+uniapp实现跨平台前端,旨在为用户提供个性化的饮食与运动方案。核心功能包括基于用户行为的智能推荐、健康数据管理及社区互动,适合作为毕业设计或实际项目开发,展示了现代Web与移动应用在信息管理与系统开发中的综合实践。
该系统是一个基于JAVA+SpringBoot后端与Vue前端的自动阅卷分析系统,旨在实现高效、准确的试卷批改与学习数据分析。核心功能包括智能识别与评分、错题统计分析、成绩报告生成以及教学效果评估。该系统开发专注于提升阅卷效率与信息管理深度,适用于在线教育、考试机构及毕业设计项目实现,为教学管理与学习分析提供一体化解决方案。
该心理健康测试平台是一个集前端小程序与后端管理系统于一体的综合系统开发项目。平台采用JAVA与SpringBoot构建稳健后端,结合Vue与uniApp实现跨端小程序开发,为用户提供便捷的心理测评与报告服务。系统核心功能包括题库管理、在线测试、数据分析及报告生成,旨在通过信息化手段提升心理健康服务的可及性与专业性,适用于毕业设计或实际项目实现。
该项目是一个基于JAVA+SpringBoot+Vue+uniapp技术栈的前后端分离微信小程序艺术品陶瓷商城系统。系统开发实现了艺术品陶瓷的在线展示、商品管理、用户订单处理及支付集成等核心功能,为陶瓷艺术品的数字化交易提供了完整的信息管理解决方案,适合作为毕业设计或商业项目实现。
该系统是一个基于Java+SpringBoot+Vue的二手车交易管理系统,旨在为用户提供便捷的在线车辆买卖平台。核心功能包括车辆信息发布、智能搜索、在线咨询、交易管理及用户评价等模块。通过前后端分离的系统开发模式,实现了高效的信息管理和流畅的用户体验,适合作为毕业设计或实际项目实现,帮助提升二手车交易效率与透明度。
该项目是一个基于Java、SpringBoot和Vue的故障报修平台,旨在实现高效的设备故障管理与维修流程。系统提供用户在线报修、工单分配、进度跟踪及数据统计等核心功能,适用于企业或校园的日常运维。通过前后端分离架构,确保了系统的可扩展性和维护性,适合作为毕业设计或实际项目实现,展示了现代Web信息管理系统的开发实践。
这是一个基于JAVA+SpringBoot+Vue的前后端分离学校请假管理系统,旨在实现学生请假流程的数字化与高效管理。系统开发涵盖了学生在线提交申请、辅导员与院系审批、请假记录统计等核心功能,优化了传统纸质流程。该项目可作为信息管理系统的毕业设计或实际应用案例,展示了前后端分离架构在项目实现中的优势。