基于JAVA+SpringBoot+Vue+uniapp的微信小程序点餐平台
该系统是一个基于Java+SpringBoot后端、Vue+Uniapp前端的微信小程序点餐平台。平台实现了在线菜单浏览、购物车管理、订单提交与支付、后台数据统计等核心功能,为餐饮商家提供高效便捷的数字化点餐解决方案。项目采用前后端分离架构,适合作为毕业设计或实际项目开发,展示了现代Web与移动应用系统的完整实现流程。
浏览 45 次
Pet Adoption Management System Based on JAVA, SpringBoot, and Vue
该系统是一个基于JAVA、SpringBoot和Vue的宠物领养管理系统,旨在为宠物救助机构和领养者提供便捷的信息管理平台。核心功能包括宠物信息展示、领养申请处理、用户管理和在线预约等,实现了宠物领养流程的数字化与自动化。该系统开发适合作为毕业设计或实际项目实现,有助于提升宠物领养效率与信息管理能力。
该系统是一个基于JAVA、SpringBoot和Vue的宠物领养管理系统,旨在为宠物救助机构和领养者提供便捷的信息管理平台。核心功能包括宠物信息展示、领养申请处理、用户管理和在线预约等,实现了宠物领养流程的数字化与自动化。该系统开发适合作为毕业设计或实际项目实现,有助于提升宠物领养效率与信息管理能力。
二十一世纪互联网的出现,改变了几千年以来人们的生活,不仅仅是生活物资的丰富,还有精神层次的丰富。时代进步的标志,就是让人们过上更好的生活。在互联网诞生之前,地域位置往往是人们思想上不可跨域的鸿沟,信息的传播速度极慢,信息处理的速度和要求还是通过人们骑马或者是信鸽传递,这些信息传递都是不可控制的,中间很有可能丢失,信息的传递水平决定了人们生活的水平。现如今,大家都在用互联网来实现自己的目的,从内部管理设置计算机管理,提高内部信息管理水平,从外部市场也可以用计算机获取相关数据进行处理,如今各行各业已经严重依赖于计算机了。
本课题研究和开发宠物领养系统,让安装在计算机上的该系统变成管理人员的小帮手,提高宠物领养信息处理速度,规范宠物领养信息处理流程,让管理人员的产出效益更高。
传统处理数据,必须是一张张纸,然后处理完毕又是统计在一张张纸上面,不断的重复处理,最终有个结果给最高层作为参考,这个模式在互联网没有出现之前,是一种常见的事情,信息管理的效率提不上去,那就用人才,人多力量大,是一个以前人们的常识。计算机的诞生就是发现了人多力量大的不足,比如高端计算人才的培养已经跟不上使用了,所以人们研究出专门帮助人们计算的机器,就是计算机的前身,到了互联网时代,人们发现完全可以让程序供应商提供解决方案,自己挑选自己合适的方案来提高自己的产出比。于是市面上就出现了各种各样的依靠程序处理信息的解决方案。
本课题研发的宠物领养系统,就是提供宠物领养信息处理的解决方案,它可以短时间处理完信息,并且只需要使用者动动鼠标和键盘就能获取自己需要的信息,并且这些信息都有专门的存储设备,而且数据的备份和迁移都可以设定为无人值守,从人力角度和信息处理角度以及信息安全角度,宠物领养系统是完胜传统纸质操作的,所以宠物领养系统就是如此的值得信赖。
宠物领养系统投入使用后,其各个功能的内部操作逻辑需要使用者通过流程图来进行了解。
使用者在操作宠物领养系统中,应该按照本系统提供的操作流程(图3.1即为本系统的操作流程图)进行操作,这样可以减少使用者操作中出现的错误,从而节省进入宠物领养系统的时间。

图3.1 系统操作流程
宠物领养系统通过登录功能(图3.2即为其登录的流程)引导使用者进入指定的功能操作区,也避免非本系统的用户享受本系统提供的服务以及查看本系统提供的信息,从而保障本系统用户的安全使用。

图3.2 登录流程
宠物领养系统在经过长期使用后,会产生很多的数据信息。为了腾出存储空间存放更多的数据,本系统数据库中存储的数据,一些没有参考价值的数据需要进行删除(图3.3即为删除信息的流程),删除数据过程中,为避免误删,使用者要根据系统的提示来决定是否删除数据。

图3.3 删除信息流程
宠物领养系统提供可视化的功能操作区,非常方便使用者进行数据操作,当使用者往系统中录入数据时(图3.4即为添加信息的流程),本系统也会进行数据合法性的判断,符合要求的数据才能够在数据库指定表中进行登记。

图3.4 添加信息流程
宠物领养系统根据使用权限的角度进行功能分析,并运用用例图来展示各个权限需要操作的功能。
图3.5即为管理员用例图,管理员权限操作的功能包括对注册用户信息的管理,对宠物领养,宠物认领,教学视频,感谢信以及公告进行管理,审核宠物领养以及认领的信息。

图3.5 管理员用例图
图3.6即为用户用例图,用户权限操作的功能包括申请领养宠物,申请认领宠物,查看申请的宠物领养或申请的宠物认领的审核状态,发布感谢信,查看或对教学视频进行收藏以及留言。

图3.6 用户用例图
系统的设计一切都是为了用户的使用,虽然用户使用过程中可能只是面对着浏览器进行各种操作,但是不代表着系统对于用户在浏览器上的操作不进行处理,所以说,设计一个系统需要考虑到方方面面。
图4.1即为设计的管理员功能结构,管理员权限操作的功能包括对注册用户信息的管理,对宠物领养,宠物认领,教学视频,感谢信以及公告进行管理,审核宠物领养以及认领的信息。

图4.1 管理员功能结构
图4.2即为设计的用户功能结构,用户权限操作的功能包括申请领养宠物,申请认领宠物,查看申请的宠物领养或申请的宠物认领的审核状态,发布感谢信,查看或对教学视频进行收藏以及留言。

图4.2 用户功能结构
宠物领养系统运行中产生的数据需要按照提前设置的存储规则进行保存,而这个存储规则则是在数据库的设计中进行设置的。通常情况下,为了更好的配合系统运行,也要给用户带来良好的使用体验,设计一个很好的数据库是必须的,因为它能减少用户的等待时间,还可以对系统的请求在最短时间内进行响应。所以,对数据库设计时,需要花费一定的时间来分析系统对于数据存储的要求以及存储的具体数据,然后设计具体的存储规则,保证数据库能够对系统的各种数据请求进行及时回应,缩短数据处理时间,并在一定程度上降低数据冗余,节省存储空间。
实体-联系图还有一个名称即E-R图,是Entity Relationship Diagram各英文单词首字母的缩写,它这种概念模型通常用于对现实世界进行描述。同时它还是一种能够直观表达数据中实体,联系,属性的有效手段。绘制E-R图能够选择的工具也有很多,但是Office Visio 这款软件在E-R图的绘制上一般都是作为首选工具,因为它是基于可视化处理,使用它创建E-R图非常简单。使用基本的E-R图构成元素,比如椭圆,菱形,矩形,还有实线段来表达对应的信息,椭圆代表属性,即实体的特征,矩形代表实体,即数据库中的一个具体数据表,菱形代表实体中相互关系,实线段主要是完成椭圆,矩形,菱形的连接,基于这样的方式即可完成对本系统的E-R图进行完整绘制。
(1)图4.4即为宠物认领这个实体所拥有的属性值。

图4.4 宠物认领实体属性图
(2)图4.5即为用户这个实体所拥有的属性值。

图4.5 用户实体属性图
(3)图4.6即为宠物领养这个实体所拥有的属性值。

图4.6 宠物领养实体属性图
(4)图4.7即为管理员这个实体所拥有的属性值。

图4.7 管理员实体属性图
(5)图4.8即为上面介绍的实体中存在的联系。

图4.8 实体间关系E-R图
本小节主要任务即是根据上述内容进行数据存储结构的设计,也就是在数据库中设计存放本系统的数据的数据表,设计数据表时,需要对各个字段进行确定,通常来说,一个实体与一张数据表相对应,实体的属性就用来表示字段名称,不同的字段表示的数据类型以及取值都不相同,这里需要根据系统实际数据的情况进行设置,同时也需要在具体表中确定该表的主键,以及该表各个字段是否能够保持空等进行说明,设计完成一张数据表的结构之后,在保存时同样要命名,尽量选择英文名称进行命名并保存,方便今后系统对数据表进行数据存储访问时,在提高数据存储效率的同时,还不容易导致系统出错。接下来就对设计的数据表进行展示。
表4.1 宠物领养表
字段
注释
空
类型
id (主键)
主键
×
int(11)
chongwulingyang_name
标题
√
varchar(200)
chongwulingyang_types
类型
√
int(11)
chongwulingyang_photo
宠物图片
√
varchar(200)
jieshu_types
是否被认领
√
int(11)
chongwulingyang_content
宠物详情
√
text
create_time
创建时间
√
timestamp
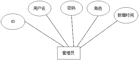
表4.2 管理员表
字段
注释
空
类型
id (主键)
主键
×
bigint(20)
username
用户名
×
varchar(100)
password
密码
×
varchar(100)
role
角色
√
varchar(100)
addtime
新增时间
×
timestamp
表4.3 宠物认领审核表
字段
注释
空
类型
id (主键)
主键
×
int(11)
chongwurenling_id
宠物认领
√
int(11)
yonghu_id
认领用户
√
int(11)
chongwurenlingshenhe_text
认领凭据
√
text
chongwurenlingshenhe_yesno_types
申请状态
√
int(11)
create_time
创建时间
√
timestamp
表4.4 宠物认领表
字段
注释
空
类型
id (主键)
主键
×
int(11)
chongwurenling_name
标题
√
varchar(200)
chongwulingyang_types
类型
√
int(11)
chongwurenling_photo
宠物图片
√
varchar(200)
yonghu_id
发布用户
√
int(11)
jieshu_types
是否找到主人
√
int(11)
chongwurenling_content
宠物详情
√
text
create_time
创建时间
√
timestamp
表4.5 宠物领养审核表
字段
注释
空
类型
id (主键)
主键
×
int(11)
chongwulingyang_id
宠物领养
√
int(11)
yonghu_id
领养用户
√
int(11)
chongwurenlingshenhe_text
认领凭据
√
text
chongwulingyangshenhe_yesno_types
申请状态
√
int(11)
create_time
创建时间
√
timestamp
表4.6 感谢信表
字段
注释
空
类型
id (主键)
主键
×
int(11)
ganxiexin_name
标题
√
varchar(200)
yonghu_id
发布用户
√
int(11)
ganxiexin_content
内容
√
text
create_time
创建时间
√
timestamp
表4.7 视频收藏表
字段
注释
空
类型
id (主键)
主键
×
int(11)
jiaoxueshipin_id
视频
√
int(11)
yonghu_id
用户
√
int(11)
jiaoxueshipin_collection_types
类型
√
int(11)
insert_time
收藏时间
√
timestamp
create_time
创建时间
√
timestamp
表4.8 视频留言表
字段
注释
空
类型
id (主键)
主键
×
int(11)
jiaoxueshipin_id
视频
√
int(11)
yonghu_id
用户
√
int(11)
jiaoxueshipin_liuyan_text
留言内容
√
text
reply_text
回复内容
√
text
insert_time
留言时间
√
timestamp
update_time
回复时间
√
timestamp
create_time
创建时间
√
timestamp
表4.9 教学视频表
字段
注释
空
类型
id (主键)
主键
×
int(11)
jiaoxueshipin_name
视频标题
√
varchar(200)
jiaoxueshipin_types
视频类型
√
int(11)
jiaoxueshipin_photo
封面
√
varchar(200)
jiaoxueshipin_video
视频
√
varchar(200)
zan_number
赞
√
int(111)
cai_number
踩
√
int(111)
jiaoxueshipin_content
详情
√
text
create_time
创建时间
√
timestamp
表4.10 公告表
字段
注释
空
类型
id (主键)
主键
×
int(11)
news_name
公告名称
√
varchar(200)
news_types
公告类型
√
int(11)
news_photo
公告图片
√
varchar(200)
insert_time
公告时间
√
timestamp
news_content
公告详情
√
text
create_time
创建时间
√
timestamp
表4.11 用户表
字段
注释
空
类型
id (主键)
主键
×
int(11)
username
账户
√
varchar(200)
password
密码
√
varchar(200)
yonghu_name
用户姓名
√
varchar(200)
sex_types
性别
√
int(11)
yonghu_id_number
身份证号
√
varchar(200)
yonghu_phone
手机号
√
varchar(200)
yonghu_address
个人地址
√
varchar(200)
yonghu_photo
照片
√
varchar(200)
create_time
创建时间
√
timestamp
编程人员在搭建的开发环境中,运用编程技术实现本系统设计的各个操作权限的功能。在本节中,就展示部分操作权限的功能与界面。
图5.1 即为编码实现的宠物领养管理界面,管理员在该界面中发布需要领养的宠物的资料,可以对宠物领养的信息进行更改,查询,删除。

图5.1 宠物领养管理界面
图5.2 即为编码实现的宠物领养审核管理界面,管理员在该界面中对用户申请领养的宠物进行线上审核,管理员对宠物领养的信息审核通过之后,该宠物的领养状态就是被领养的状态了。

图5.2 宠物领养审核管理界面
图5.3 即为编码实现的宠物认领管理界面,管理员在该界面中发布宠物的认领信息,其中包括宠物的图片,宠物的类型等信息,管理员对宠物的认领信息也能更改,查询,删除。

图5.3 宠物认领管理界面
图5.4 即为编码实现的宠物认领审核管理界面,管理员在该界面中对用户申请认领的宠物信息进行线上审核,审核后的宠物认领信息只能进行查看和查询。

图5.4 宠物认领审核管理界面
图5.5 即为编码实现的教学视频管理界面,管理员在该界面中主要是上传教学视频,对教学视频信息包括视频文件,视频标题等资料进行更改,查询,或删除,可以查看已发布教学视频的用户点赞数等信息。

图5.5 教学视频管理界面
图5.6 即为编码实现的宠物领养界面,用户在该界面中查看宠物领养的介绍信息,只能对未被领养的宠物进行申请领养,已经被领养的宠物只能查看其介绍信息。

图5.6 宠物领养界面
图5.7 即为编码实现的宠物认领界面,用户在该界面中查看宠物认领信息,已经找到主人的宠物不支持认领。还没有找到主人的宠物才能进行申请认领。

图5.7 宠物认领界面
图5.8 即为编码实现的教学视频界面,用户在该界面中主要就是播放教学视频,在教学视频下方发布留言,该教学视频也支持用户在当前页面进行收藏,方便下次查看。

图5.8 教学视频界面
图5.9 即为编码实现的感谢信管理界面,用户在该界面中可以发布感谢信,对感谢信的内容进行更改,查询,删除。

图5.9 感谢信管理界面
可沟通项目方向、预算、交付周期与答辩时间安排,支持按学校要求定制交付内容。
根据你的浏览兴趣与热门趋势,精选可能适合你的毕业设计项目。
该系统是一个基于Java+SpringBoot后端、Vue+Uniapp前端的微信小程序点餐平台。平台实现了在线菜单浏览、购物车管理、订单提交与支付、后台数据统计等核心功能,为餐饮商家提供高效便捷的数字化点餐解决方案。项目采用前后端分离架构,适合作为毕业设计或实际项目开发,展示了现代Web与移动应用系统的完整实现流程。
该项目是一个集成了协同过滤推荐算法、网络爬虫与AI技术的智能减肥小程序。系统采用JAVA+SpringBoot构建后端服务,Vue+uniapp实现跨平台前端,旨在为用户提供个性化的饮食与运动方案。核心功能包括基于用户行为的智能推荐、健康数据管理及社区互动,适合作为毕业设计或实际项目开发,展示了现代Web与移动应用在信息管理与系统开发中的综合实践。
该系统是一个基于JAVA+SpringBoot后端与Vue前端的自动阅卷分析系统,旨在实现高效、准确的试卷批改与学习数据分析。核心功能包括智能识别与评分、错题统计分析、成绩报告生成以及教学效果评估。该系统开发专注于提升阅卷效率与信息管理深度,适用于在线教育、考试机构及毕业设计项目实现,为教学管理与学习分析提供一体化解决方案。
该心理健康测试平台是一个集前端小程序与后端管理系统于一体的综合系统开发项目。平台采用JAVA与SpringBoot构建稳健后端,结合Vue与uniApp实现跨端小程序开发,为用户提供便捷的心理测评与报告服务。系统核心功能包括题库管理、在线测试、数据分析及报告生成,旨在通过信息化手段提升心理健康服务的可及性与专业性,适用于毕业设计或实际项目实现。
该项目是一个基于JAVA+SpringBoot+Vue+uniapp技术栈的前后端分离微信小程序艺术品陶瓷商城系统。系统开发实现了艺术品陶瓷的在线展示、商品管理、用户订单处理及支付集成等核心功能,为陶瓷艺术品的数字化交易提供了完整的信息管理解决方案,适合作为毕业设计或商业项目实现。
该系统是一个基于Java+SpringBoot+Vue的二手车交易管理系统,旨在为用户提供便捷的在线车辆买卖平台。核心功能包括车辆信息发布、智能搜索、在线咨询、交易管理及用户评价等模块。通过前后端分离的系统开发模式,实现了高效的信息管理和流畅的用户体验,适合作为毕业设计或实际项目实现,帮助提升二手车交易效率与透明度。
该项目是一个基于Java、SpringBoot和Vue的故障报修平台,旨在实现高效的设备故障管理与维修流程。系统提供用户在线报修、工单分配、进度跟踪及数据统计等核心功能,适用于企业或校园的日常运维。通过前后端分离架构,确保了系统的可扩展性和维护性,适合作为毕业设计或实际项目实现,展示了现代Web信息管理系统的开发实践。
这是一个基于JAVA+SpringBoot+Vue的前后端分离学校请假管理系统,旨在实现学生请假流程的数字化与高效管理。系统开发涵盖了学生在线提交申请、辅导员与院系审批、请假记录统计等核心功能,优化了传统纸质流程。该项目可作为信息管理系统的毕业设计或实际应用案例,展示了前后端分离架构在项目实现中的优势。